Pemilihan lokasi usaha adalah salah satu faktor penting dalam pengelolaan bisnis eceran. Implikasi dari pemilihan lokasi usaha yang tepat adalah terjadinya keseimbangan antara penawaran dan permintaan barang. Oleh karena itu pebisnis eceran perlu melakukan penelitian agar pemilihan lokasi usaha sesuai dengan jenis usaha eceran yang akan dijalankan. Sebagai alat bantu untuk memudahkan penelitian tersebut, dapat dibuat suatu checklist seperti contoh dari tabel dapat dilihat di bawah ini :Dalam menentukan jenis usaha eceran pada suatu lokasi, diperlukan pengetahuan dalam menganalisis area perdagangan di sekitar lokasi tersebut. Salah satu faktor yang mempengaruhi pemilihan jenis usaha di suatu lokasi diantaranya : ukuran dan jenis dari usaha eceran. Begitu pula jarak antara pemukiman penduduk dan lokasi usaha juga menjadi dasar pemikiran pemilihan lokasi. Banyak toko yang menerapkan usahanya sebagai one stop shooping, biasanya jenis toko ini berada di lokasi yang mudah dijangkau sarana transportasi karena mobilitas penduduknya adalah kaum urban.
Area perdagangan juga dipengaruhi kebutuhan masyarakat terhadap suatu barang. Untuk barang kebutuhan sehari-hari yang frekuensi pembeliannya cukup sering seperti makanan dan toiletries atau sering disebut convenience goods lokasi toko sebaiknya mudah dijangkau, sedangkan bila dilihat dari ukuran tokonya tidak diperlukan tempat yang luas. Barang-barang yang dibeli konsumen secara berkala atau pada waktuwaktu tertentu, dimana konsumen seringkali membandingkan harga, kualitas, gaya, seperti baju atau sepatu (disebut shopping goods), biasanya lokasi tokonya lebih jauh dibandingkan dengan conveniece goods. Sedangkan untuk barang-barang khusus atau disebut juga specialty goods, bisa saja berjarak agak jauh, sebab dengan kekhususannya jarak bukanlah merupakan suatu hal yang memberatkan konsumen untuk mendatangi toko tersebut. Berikut ini adalah tabel Area Perdagangan Umum bila dikaitkan dengan Barang yang dijual.Dilihat dari lokasi toko itu berada ada beberapa jenis, diantaranya :
a. Area Pusat Perdangan, biasanya terdapat area dengan berbagai aktivitas kegiatan penduduknya. Yang termasuk ke dalam kategori ini adalah :
- Central Business District (CBD), merupakan suatu area di pusat kota dimana terdapat perkantoran, bank, restaurant, bioskop dan toko eceran dari kelas independent store hingga kelas departement store.
- Secondary Business District, merupakan area perbatasan antara pusat kegiatan perkotaan dengan pemukiman. Berbagai kebutuhan berkala seperti furniture bisa ditemui pada lokasi ini.
b. Shopping Centre, area yang dikhusukan sebagai pusat perbelanjaan
4.2 Metode Penentuan Area Perdagangan
Ada beberapa macam metode untuk menentukan area perdagangan :
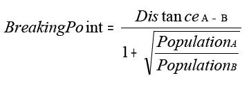
1. Reily’s Law of Retail Gravitation, ditemukan oleh William J. Reily pada sekitar tahun 1920-an . Dalam metode ini dikemukakan bahwa untuk menentukan ukuran dari area perdagangan dan daya tarik gravitasi dari suatu shopping area berhubungan erat dengan jumlah populasi dan jarak tempuh menuju area tersebut.
Pada tahun 1940-an Paul D. Converse melakukan modifikasi pada metode Reily yang dikenal dengan Breaking Point Formula. Berikut ini akan diberikan ilustrasi dari Breaking Point Formula : Diasumsikan jarak kota A dan kota B adalah 15 mil. Penduduk yang bermukim diantara kedua kota tersebut dapat memilih berbelanja di kota A atau di kota B. Diketahui pula populasi kota A adalah140.000 orang dan kota B hanya 20.000 orang. Dengan metode di atas kita dapat menentukan jarak
tempuh ke area perdagangan yang dapat dicapai penduduk di kota tersebut.
Substitusikan nilai yang telah diketahui tadi ke dalam rumus di atas :Dari hasil perhitungan diperoleh bahwa area perdagangan sebaiknya dibangun kurang lebih 4,1 mil di luar kota B ke arah kota A. Dengan kata lain jarak area perdagangan tersebut dari kota A yang lebih besar dari kota B, 15– 4,1 atau 10,9 mil.
2. Saturation Method, yaitu metode penentuan area perdagangan dengan melihat secara menyeluruh jumlah pesaing di daerah tersebut. Dengan metode ini, pengecer dapat menilai apakah area tersebut telah memenuhi batas jenuh jumlah toko atau masih ada kemungkinan mendirikan toko baru.
3. General Method dilakukan dengan cara observasi dan penelitian terhadap konsumen potensial
4.3 Demografi Area Perdagangan
Untuk membuat keputusan yang tepat berkaitan dengan lokasi toko, pebisnis eceran perlu mengetahui karakteristik penduduk yang tinggal di area perdangan tersebut, seperti usia rata-rata penduduk, berapa banyak uang yang dikeluarkan untuk memenuhi kebutuhan hidupnya, tingkat pendidikan, gaya hidup dan rasio laki-laki - perempuan. Karakteristik penduduk tersebut kemudian disesuaikan dengan target pasar yang hendak dibidik oleh pengecer.
Selain itu penelitian terhadap kebiasaan berbelanja dan tingkat preferensi konsumen adalah hal yang sangat penting diperhatikan oleh pengecer untuk dapat menentukan jenis barang yang akan dijual. Untuk mengetahui kebiasaan dan tingkat preferensi dari konsumen, pebisnis eceran dapat menyebarkan kuesioner, seperti contoh di bawah ini :
1. Dimana biasanya konsumen berbelanja belakangan ini ?
2. Apa alasan konsumen berbelanja di sana ?
3. Berapa jarak yang harus ditempuh konsumen untuk sampai di toko ?
4. Apakah konsumen cenderung untuk berbelanja ke lokasi toko yang mudah dijangkau ?
5. Apakah konsumen menyukai konsep berbelanja sambil rekreasi (menonton film atau makan siang/malam) dalam satu waktu ?
6. Manakah yang lebih disukai oleh konsumen, berbelanja di kota atau di daerah pinggiran ?
7. Manakah yang lebih disukai konsumen dalam berbelanja self service atau dilayani oleh pelayan ?
8. Jenis pembayaran manakah yang sering dilakukan oleh konsumen, kredit atau cash ?
9. Seberapa penting sistem pengiriman barang/delivery, pengepakan dan jasa lainnya bagi konsumen ?
10. Seberapa sering konsumen berbelanja ?
4.4 Disain Toko
Ada beberapa elemen yang perlu diperhatikan dalam merancang sebuah toko, yaitu konstruksi toko, layout toko, alokasi ruang serta perkakas dan perlengkapan. Berikut ini adalah bagan dari elemen perancangan toko.
- Konstruksi Toko
Setelah mendapatkan lokasi toko, pebisnis eceran mempunyai dua alternatif berkaitan dengan konstruksi toko, yaitu mendirikan bangunan toko baru atau memodifikasi ulang pada bangunan yang telah ada. Konstruksi toko tersebut disesuaikan dengan barang yang dijual, area sekitar toko tersebut, ukuran toko dan beberapa faktor lainnya. Sebagai contoh, toko roti akan berbeda dengan toko buku dan sebagainya.
- Eksterior Toko
Eksterior toko adalah elemen yang penting dalam bisnis retail, sebagai media perantara yang menampilkan image perusahaan dan masyarakat. Tampilan luar sebuh toko sering mengacu ke arsitektur dan mengandung aspek-aspek seperti bahan bangunan, gaya dan rincian arsitektur,warna dan tekstur.
Ada beberapa aspek berkaitan dengan eksterior toko, diantaranya papan nama, jendela dan pintu masuk.
- Papan nama
Papan nama adalah media komunikasi yang efektif. Dengan papan nama, orang akan mudah mencari toko yang bersangkutan, selain itu papan nama adalah sarana untuk menampilkan image perusahaan. Papan nama bisa berbentuk satu sisi bila dipasang pada tampak depan, dua sisi bila dipasang lebih tinggi dari toko sehingga orang yang melintas dari dua arah yang berlawanan dapat melihatnya, atau tiga sisi, sehingga orang dapat melihat papan nama tersebut dari berbagai arah pandang. Teks dan logo pada papan nama sebaiknya dibuat dengan ukuran besar dan tulisan yang singkat, sehingga mudah membacanya. Pemilihan warna yang menarik juga
mempengaruhi orang untuk membaca papan nama tersebut. Hal lain yang perlu diperhatikan adalah peraturan pemerintah daerah
berkaitan dengan pemasangan reklame. Biasanya untuk keindahan tata kota ada aturan baku berkaitan dengan pemasangan papan
reklame terutama bila papan tersebut berada di pusat kota.
- Jendela Display.
Jendela display atau kaca depan sebuah toko memberikan peluang tambahan untuk meraih dan menangkap konsumen yang lewat di
depan toko. Jendela tersebut merupakan bagian tak terpisahkan dalam menciptakan kesan positif karena menawarkan peluang untuk
mengawali penyampaian keunikan toko secara langsung. Banyak pebisnis eceran mengabaikan daya tarik yang kuat dari jendela toko yang dirancang secar efektif dan lebih tertarik untuk menggunakan area toko untuk ruang persediaan dibandingkan penggunaannya sebagai pembuat citra yang tepat.
- Pintu Masuk Toko
Pintu masuk ke toko adalah pemisah antara lingkungan luar dan dalam toko. Pebisnis eceran yang lokasi tokonya berada dalam satu Mall cenderung lebih mudah menarik konsumen karena pintu masuk ke dalam tokonya lebih luas dan terbuka terus. Pebisnis eceran yang berada dalam kondisi lalu lintas pengunjung yang padat harus membuat jalan masuk yang terbuka. Pebisnis eceran yang tokonya berada di sepanjang jalan relatif lebih tertutup karena pertimbangan keamanan, dan cuaca. Kondisi tersebut menyebabkan peluang untuk mengundang pejalan kaki di depan toko untuk masuk ke dalam tokon relatif lebih kecil sehingga
memerlukan usaha yang lebih berat. Pebisnis eceran di jalan ini memerlukan kombinasi antara tampilan jendela toko sebelash luar dengan rancangan pintu masuk yang menarik.
Interior Toko
Agar pengunjung toko merasa nyaman berada di dalam toko, pebisnis eceran perlu melakukan penataan berkaitan dengan interior
yang ada di dalam tokonya. Beberapa hal yang perlu diperhatikan dalam penataan interior toko adalah sirkulasi udara, interior dinding, lantai, langit-langit dan pencahayaan.
- Sirkulasi Udara
Berbagai jenis toko memiliki sirkulasi udara yang berbeda. Sirkulasi udara sangat berpengaruh pada emosi dan perasaan
dari pengunjung. Pendingin ruangan harus diletakkan pada tempat yang tepat, begitu pula bila ada musik dalam ruang sebaiknya disesuaikan dengan suasana toko. Penempatan outlet yang menghasilkan aroma seperti pewangi di dalam departement store atau ikan, daging dan sayur dalam supermarket juga perlu diperhatikan, sehingga secara keseluruhan sirkulasi udara di dalam area toko tidak terganggu.
- Interior Dinding
Interior dinding digunakan sebagai pemisah antara area penjualan produk yang berbeda, kamar pas, dan gudang atau
penyimpanan barang. Partisi dapat terbuat dari kayu, plastik, tembok atau kaca. Dinding dapat pula difungsikan sebagai
display dari produk yang dijual. Warna dinding dan partisi sebaiknya dipilih yang terang sehingga tidak memberikan kesan
kotor dan sempit.
- Lantai
Lantai toko haruslah aman bagi pengunjung serta perawatannya mudah dibersihkan, cepat kering, tidak mudah pecah atau kuat
menahan beban yang berat dan tidak ada rintangan.
- Langit-langit
Langit-langit toko sangat berkaitan erat dengan sirkulasi di dalam ruangan.Tinggi dari langit-langit biasanya disesuaikan
dengan luar ruang. Langit-langit yang tinggi akan memberikan kesan luas dan terang bagi ruangan. Karena langit-langit juga
berfungsi sebagai tempat melintasnya saluran listrik, pipa air dan tempat penyimpanan lain maka penataan langit-langit tersebut diupayakan dengan tetap menjaga ruang di bawahnya terasa nyaman.
- Pencahayaan
Pencahayaan yang baik di dalam toko akan membuat nyaman pengunjung. Selain itu pencahayaan akan memberikan kesan dan
penegasan pada produk yang dipajang atau dijual.
Layout Toko
Pengaturan layout toko harus memperhatikan alur dari pengunjung, dan kemudahan akses antara area penjualan gudang penyimpanan barang. Pada umumnya pengunjung yang memasuki toko akan berjalan dan memperhatikan display dari produk yang dijual. Untuk jenis toko yang menitikberatkan pada pelayanan, biasanya ada pramuniaga yang akan membantu pengunjung, sedangkan untuk toko atau department store yang menerapkan self service, pengunjung akan mengambil sendiri barang yang diperlukannya dan kemudian membayarnya di kasir. Ada dua pendekatan mendasar dari penyusunan layout toko yaitu grid layout dan disain bebas.
- Grid layout adalah penyusunan layout toko yang sangat umum.
Biasanya layout ini ditemui di supermarket dengan jenis pelayanan self service. Di dalam toko, pengunjung akan mendapatkan rak-rak yang disusun secara berbaris sesuai dengan pengelompokan barangnya. Jarak antar rak-rak tersebut memperhatikan keleluasaan gerak dari pengunjung sedangkan tinggi rak atau gondola disesuaikan dengan jangkauan pengunjung. Untuk efisiensi sekitar tepi ruang juga dipasang rak. Sedangkan counter kasir ditempatkan dekat dengan pintu keluar.
- Bentuk Bebas
Pada bentuk layout ini pebisnis eceran dapat secara bebas meletakan barang yang dijualnya dengan tetap memperhatikan kemudahan pengunjung bergerak mencari barang yang dicarinya, biasanya layout ini digunakan department store.
Alokasi Ruang Untuk Meningkatkan Produktivitas Untuk meningkatkan keuntungan pebisnis eceran perlu berkaitan dengan ruang yang digunakan. Pengeluaran setiap meter persegi dari ruang toko dihitung dari biaya yang yang dikeluarkan untuk sewa atau pemeliharaan ruang pertahun dibagi dengan luas ruangan. Namun demikian tidak semua bagian dari toko yang berfungsi sebagai area penjualan, ada pula area yang digunakan untuk penyimpanan barang, karenanya perhitungan biaya tersebut perlu pula memperhatikan perbandingan luas area penjualan dan area gudang. Beberapa hal yang perlu diperhatikan dengan upaya peningkatan laba didasarkan pada alokasi ruang adalah sebagai berikut :
- Analisis Penjualan
Para pebisnis eceran melakukan analisis penjualan berdasarkan penjualan pada tahun sebelumnya. Informasi tersebut dapat dijadikan dasar perhitungan untuk alokasi ruang. Beberapa jenis barang seperti jaket untuk musim hujan atau baju seragam sekolah sebaiknya hanya dipajang untuk waktu yang tidak terlalu lama karena sifatnya hanya periodik. Dengan demikian area barang tersebut dapat diganti dengan barang lain yang bisa lebih memberikan keuntungan.
- Prediksi perolehan laba
Dari data yang diperoleh dari asosiasi perdagangan, dapat diketahui rata-rata penjualan suatu barang pada tahun yang lalu. Dengan informasi tersebut pebisnis eceran dapat memprediksi laba yang diperoleh untuk barang yang menempati setiap meter area toko dengan tidak lupa memperhitungkan perkakas untuk memajang atau menyimpan barang tersebut.
- Pendekatan persediaan
Dengan pendekatan persediaan, pebisnis eceran akan memperhitungkan jumlah barang yang akan dijual di area toko disesuaikan dengan permintaan dari konsumen Perkakas dan Perlengkapan Barang yang dijual di toko, biasanya diletakkan pada suatu tempat
sehingga memudahkan konsumen atau pelayan mengambil barang tersebut. Selain itu perlengkapan pendukung juga diperlukan untuk menunjang kegiatan di dalam toko.
- Perkakas.
Beberapa perkakas yang digunakan untuk menyimpan barang adalah : gondola, showcase, keranjang, rak dan sebagainya Gambar 4.7. Berbagai Bentuk Display
- Perlengkapan
Perlengkapan yang dibutuhkan untuk menunjang kegiatan di dalam toko diantaran : AC, calculator, cash register, komputer, electronic scanner, labeling machine dan sebagainya.
4.5 Penggunaan teknologi untuk pengelolaan toko
Perkembangan teknologi yang pesat dalam bidang komputer membawa perubahan yang dramatis bagi dunia bisnis. Dalam industri
eceran, perusahaan terbesar dan terbaik banyak yang mengambil keuntungan dari perkembangan teknologi tersebut untuk meningkatkan efisiensi perusahaan, yang artinya perusahaan dapat menjual produknya pada konsumen pada tingkat harga yang lebih rendah.
a. Komputer sebagai mesin cash register
Sampai saat ini para pebisnis eceran menggunakan berbagai macam jenis mesin cash register untuk mengolah dan menyimpan data-data penjualan. Secara umum pada awalnya, mesin ini hanyalah mesin pembantu, yang memberikan informasi mengenai total penjualan pada saat akhir hari (saat akan tutup toko) kemudian berkembang menjadi electronic cash register yang memberikan informasi yang lebih lengkap dari mesin cash register generasi sebelumnya misalnya informasi mengenai penjualan langsung dari departemen yang terkait. Namun hal ini ternyata belum memberikan hasil informasi yang optimal.
Komputer personal (personal computer-PC) telah banyak mengubah kondisi ini. Mesin yang sama yang dulu digunakan untuk menerbangkan pesawat terbang pada Flight Simulator, sekarang ini dapat memberikan informasi yang serinci mungkin mengenai bisnis yang sedang dijalankan misalnya komputer yang dilengkapi dengan peralatan scanner, cash drawer dan mesin pembaca kartu kredit. Dengan menggunakan komputer personal kita dapat mencari nama, alamat dan nomor telepon dari konsumen kita. Informasi ini dapat kita hubungkan dengan informasi mengenai pembelian yang selama ini telah dilakukan sehingga kita dapat memantau frekuensi kedatangan dan kebutuhan konsumen tersebut. Jika hal ini dapat dilakukan, maka kita dapat berkomunikasi dengan konsumen secara pribadi pada saat-saat tertentu yang akhirnya secara tidak langsung akan terjadi proses pemasaran yang relatif lebih efektif.
Walaupun akan ditemukan pula keuntungan misalnya dari sisi peningkatan produktifitas, keuntungan sebenarnya dari penggunaan
komputer personal pada bisnis ini yaitu peningkatan penjualan barang yang ada di toko.
1. Automatic Replenishment
Penggunaan teknologi dalam hal ini teknologi komputer akan banyak membantu mengefektifkan penggunaan waktu dalam pengelolaan toko. Misalnya untuk hal sederhana seperti pengulangan order pembelian suatu barang. Dengan menggunakan mesin automatic replenishment maka order pembelian ini dapat dilakukan lebih cepat, lebih efisien dan dengan penggunaan alternatif biaya yang lebih rendah dari pada penggunaan tenaga manusia.
Ide dasar penggunaan mesin ini yaitu bila kita telah memiliki model suatu stock barang pada suatu kondisi stock tertentu dengan biaya tertentu pula, maka hal seperti ini dapat dilakukan oleh komputer. Informasi mengenai jumlah barang, rata-rata harga penjualan dan tanggal kadaluarsa dari barang tersebut dapat selalu dimonitor. Walaupun penggunaan mesin/alat automatc replenishment bekerja /berfungsi baik pada sistem dasar persediaan, banyak pebisnis eceran di bidang pakaian yang mulai menggunakannya. Program komputer digunakan untuk mencari ukuran, warna dan harga dari berbagai jenis barang yang beli konsumen, kemudian dengan menggunakan komputer barang yang sama tersebut dapat dipesan dari pemasok yang sama pula.
Kelihatannya hal ini sederhana, namun dalam dunia bisnis eceran para pebisnis semaksimal mungkin mencari jalan yang dapat memaksimalkan penggunaan waktu yang ada. Dengan demikian penggunaan teknologi yang efektifkan memungkinkan kita dalam pemanfaatan waktu untuk dapat lebih banyak mengerjakan sesuatu yang lain.
Multimedia
Perkembangan terus menerus dalam bidang teknologi komputer memungkinkan pebisnis eceran untuk melengkapi komputer pada toko
miliknya dengan peralatan CD-ROM drive untuk fasilitas multimedia (penambahan fungsi suara, video, grafik pada komputer personal). Banyak pemasok saat ini yang memberikan katalog dan pelatihan mengenai informasi produk yang dijual melalui CD-ROM. Untuk pengelolaan toko, teknologi multimedia ini dapat dimanfaatkan misalnya pembuatan katalog untuk berbagai barang-barang yang dijual .
Pencarian lembar-lembar katalog secara manual umumnya membutuhkan waktu. Sebagai gantinya kita dapat menyusun katalog yang menggunakan fasilitas multimedia dilengkapi dengan alat touchscreen display (layar monitor yang menggunakan teknologi layar sentuh langsung pada monitor) yang dapat menampilkan berbagai jenis barang yang dijual. Saat ini, beberapa toko mulai memproduksi sendiri CD-ROM yang berisi katalog. Penggunaan teknologi multimedia merupakan cara lain yang dapat menjadi pilihan untuk berinteraksi , berkomunikasi dengan konsumen.
1. UPC dan Teknologi EDI
Universal Product Code (UPC) adalah suatu kode yang secara unik mengidentifikasikan satu jenis barang yang diperdagangkan (umumnya untuk memudahkan bagian Stock Keeping Unit-SKU dalam mendata barang-barang yang ada). Bentuk yang paling umum dari UPC yaitu berupa barcode, suatu kode berupa sederetan batang vertikal yang tertera atau direkatkan pada kemasan/pembungkus untuk setiap jenis barang. Kode ini dapat diterjemahkan oleh komputer yang dilengkapi dengan program khusus. Penggunaan UPC ini telah meluas, dan hampir 90% dari seluruh barang yang dikeluarkan oleh pabrik pada kemasannya telah dilengkapi dengan UPC.
Dengan menggunakan scanner untuk membaca dan menyimpan UPC pada setiap barang yang terjual, kita akan mendapatkan informasi yang tepat dan akurat mengenai hasil penjualan yang terjadi setiap hari. Sehingga kita dapat membuat keputusan yang relatif lebih cepat untuk melakukan pemesanan kembali. Dengan demikian konsumen lainnya yang juga menginginkan pembelian suatu barang dapat terpenuhi keinginannya atau dengan perkataan lain, persediaan barang tidak pernah nol dan terpenuhinya barang di gudang menerapkan pola Just In Time (JIT) yaitu kita membeli suatu barang pada saat kita membutuhkan dan menerima barang tersebut tepat di saat kita memerlukannya. Konsep ini dapat membantu meningkatkan efisiensi khususnya bagi para pebisnis eceran yaitu menekan biaya investasi untuk gudang dan menurunkan risiko penyimpanan barang di gudang.
EDI (Electronic Data Interchange) adalah suatu alat yang dapat digunakan oleh para pebisnis eceran ataupun pengelola toko dan pemasok untuk saling mengirimkan informasi secara elektronik. Pengiriman data dilakukan dalam bentuk format tertentu sehingga waktu pengiriman dapat ditekan dan penggunaan kertas dapat dikurangi (paperless). Penggunaan teknologi ini memungkinkan kita untuk melakukan pemesanan pembelian pada beberapa pemasok secara elektronik. Pemesanan dilakukan melalui komputer yang dihubungkan dengan electronic mailbox yang kemudian akan mengirimkan pesanan pembelian pada beberapa pemasok yang diinginkan.
Pemasok selanjutnya akan memproses pemesanan tersebut dan mengirimkan pemberitahuan yang diperlukan untuk pengiriman barang
yang telah dipesan. Dengan demikian kita dapat mengetahui dengan jelas barang yang kita beli dan pada saat barang tersebut datang , dengan mudah kita dapat melakukan scan barcode pada barang tersebut. Pembayaran untuk barang-barang tersebut dapat juga dilakukan melalui media elektronik. Beberapa waktu lalu, teknologi seperti ini hanya dapat dilakukan oleh pebisnis eceran skala besar. Saat ini , pebisnis eceran untuk skala menengah dan mungkin untuk setiap tingkatan dapat memanfaatkannya. Bahkan di masa mendatang teknologi ini akan menjadi suatu kebutuhan. Pebisnis eceran dengan skala usaha besar umumnya telah menggunakan teknologi EDI untuk berkomunikasi atau berhubungan dengan pemasok. Hal ini dapat menekan jumlah karyawan yang biasanya menerima pesanan secara manual sekaligus biaya yang dikeluarkan untuk menggaji karyawan tersebut.
1. Internet retailing
Kelancaran bertransaksi dengan pemasok saat ini telah dilengkapi lagi dengan peralatan telekomunikasi yang makin canggih yaitu dengan internet. Perkembangan bisnis perdagangan telah mencapai media ini yaitu dengan maraknya pembuatan situs yang dapat mempromosikan ataupun memberikan informasi, sekaligus transaksi pemesanan mengenai barang-barang yang diperdagangkan.
Situs-situs ini terkenal
dengan istilah situs portal, contohnya amazon.com yaitu suatu situs portal yang dapat memberikan informasi mengenai buku dan sekaligus transaksi pemesanan dapat dilakukan. Situs-situs semacam ini sekarang makin banyak dibuat dan mulai bermunculan perusahaan-perusahaan baru yang khusus berkecimpung dalam bisnis ini. Bagi para pebisnis eceran yang memiliki komputer dilengkapi dengan internet maka dengan mudah dapat berhubungan dengan pemasok yang memiliki situs semacam ini.
Situs ini umumnya memuat informasi yang cukup rinci mengenai barang-barang yang diperdagangkan. Awalnya, penggunaan internet
terbatas pada kebutuhan akan informasi yang relatif lebih cepat dari media pemberitaan lainnya. Selanjutnya, dengan berkembangnya pemrograman komputer mulailah dibuat homepage-homepage/situs yang sifatnya terbatas pada pemberian informasi yang dilengkapi dengan gambar-gambar yang lebih menarik dari yang umum ditampilkan pada brosur. Sehingga para penjelajah internet tertarik untuk berkunjung ke salah satu situs yang ada dan meminta informasi lebih lanjut melalui media komunikasi lain misalnya telepon. Perkembangan berikutnya memicu para programmer untuk berkreasi dalam pembuatan situs tadi sehingga pembuatan situs selanjutnya dikembangkan dengan berbagai fasilitas yang dapat memenuhi keinginan konsumen antara lain keinginan untuk dapat langsung memesan barang yang diinginkan.
Menjual barang atau produk melalui internet memiliki beberapa kesamaan dengan menjual melalui katalog, namun keduanya berbeda
secara mendasar jika dibandingkan dengan mengelola toko (barang eceran). Sebagai contoh, jika kita menjual melalui internet maka kita harus mempertimbangkan masalah penyimpanan barang di gudang dan pengiriman barang yang dipesan melalui sarana transportasi tertentu.
Teknologi yang secara spesifik dapat membantu kelancaran operasional yaitu meliputi komputer personal yang dilengkapi dengan peralatan keras khusus (hardware) untuk bisnis eceran serta perangkat lunak (software) yang juga khusus dibuat untuk bisnis eceran. Secara rinci perangkat keras tersebut yaitu :
a. Cash drawer
b. Cash register keyboard khusus
c. Credit card reader (umumnya sudah menjadi satu dengan keyboard)
d. Laser scanner yang terhubung ke keyboard
e. Receipt printer
f. Modem kecepatan tinggi untuk keperluan approval kartu kredit
g. Tape backup system
h. Uninterruptible power supply (UPS)
i. Ticket printer
j. Printer inkjet atau laser printer untuk keperluan pembuatan laporan Sedangkan perangkat lunak khusus untuk bisnis eceran yaitu :
a. Program Point of Sales (POS)
b. Merchandising program (back office)
c. Program database konsumen
d. Accounting program
e. Program paket terintegrasi yang terdiri dari fasilitas-fasilitas di atas
Biasanya pebisnis eceran menyisihkan 1% - 2% dari hasil penjualan bersih untuk investasi teknologi. Namun prosentase ini tentunya tergantung dari kebijakan perusahaan atau pengelola toko masing-masing atau dengan perkataan lain dapat diperhitungkan sesuai dengan kebutuhan. Dengan pembahasan di atas tentunya anda berpikir, apa kiranya alasanalasan
yang tepat sehingga kita memutuskan untuk menggunakan teknologi pada toko kita ? Ada kurang lebih 10 alasan yang dapat dikemukakan di sini, alasan-alasan tersebut yaitu :
1. Kita dapat mengubah harga setiap barang yang ada di toko kapan saja kita inginkan dan kita dapat mengetahui dengan pasti berapa jumlah barang yang tersedia dan berapa biaya yang telah dikeluarkan untuk hari itu. Alasan ini sangat kuat jika dihubungkan dengan masalah waktu dan aset yang kita miliki.
2. Kita dapat mengetahui barang-barang apa saja yang telah terjual, hal ini dapat diketahui melalui kode barang yang tersimpan di dalam program yang dimasukkan oleh petugas kasir pada saat barang tersebut dibayarkan oleh konsumen. Dengan mengetahui barang-barang yang telah terjual tersebut, otomatis akan diketahui pula pemasok dari barang tersebut. Tingkat penjualan tersebut akan mempengaruhi besarnya penawaran saat proses negosiasi antara pebisnis dengan pemasok.
3. Kita dapat mengetahui tingkat penjualan setiap barang setiap saat tentunya pada waktu toko buka, dengan demikian dapat diketahui pula rata-rata transaksi yang terjadi setiap jam, setiap hari atau setiap minggu.
4. Kita dapat mengandalkan teknologi untuk masalah pemesanan ulang (reordering) dan pemesanan pembelian (purchase order). Dengan demikian penghematan waktu dan tenaga dapat diterapkan. Contohnya, suatu perangkat lunak terintegrasi akan secara otomatis memunculkan nama pemasok dan alamat dalam suatu form isian di komputer, atau memunculkan form isian pesanan terakhir yang pernah dibuat ke suatu pemasok sehingga kita tidak perlu mengisi ulang form tersebut (karena inti dari isi form tersebut sama dengan form yang pernah dibuat sebelumnya).
5. Dengan menggunakan teknologi, kecepatan pemrosesan transaksi pada kasir dapat ditingkatkan sehingga antrian yang umumnya terjadi pada kasir dapat dikurangi. Antrian yang sering terjadi biasanya disebabkan oleh waktu yang dibutuhkan kasir untuk memasukkan data berupa kode barang ke cash register (jika belum digunakan mesin scanner barcode). Konsumen yang kurang sabar umumnya akan memilih mengembalikan barang dan meninggalkan toko daripada harus menunggu.
6. Kita dapat membuat laporan keuangan melalui data yang diperoleh secara akurat sehingga dapat terlihat apakah toko yang dikelola untung atau rugi, dan jika terjadi kerugian dapat diketahui sebabnya.
7. Teknologi dapat membantu untuk pengontrolan barang dalam gudang. Kita dapat mengetahui barang-barang yang dijual dan juga barangbarang yang sudah mendekati kadaluarsa.
8. Kita dapat membuat tingkatan untuk 100 barang-barang yang paling banyak terjual. Dengan demikian akan memudahkan pengelola toko untuk melakukan pemesanan kembali terhadap barang-barang yang laku terjual.
9. Kita dapat selalu berhubungan dengan konsumen. Dengan mengetahui nama, alamat dan nomor telepon maka sewaktu-waktu pengelola dapat berhubungan langsung dengan konsumen, misalnya pada waktu-waktu tertentu ada promosi khusus maka pengelola dapat mengirimkan brosur langsung ke alamat konsumen.
10. Kita dapat membuat tingkatan untuk 100 konsumen yang sering berbelanja ke toko kita. Dengan demikian dapat dibuat suatu promosi khusus untuk konsumen atau pelanggan yang setia ke toko kita.
No comments:
Post a Comment